
Gleichung Bruchgleichungen lösen
Unter einer Gleichung versteht man in der Mathematik eine Aussage über die Gleichheit zweier Terme, die mit Hilfe des Gleichheitszeichens symbolisiert wird. Formal hat eine Gleichung die Gestalt , wobei der Term die linke Seite und der Term die. Unter einer Gleichung versteht man in der Mathematik eine Aussage über die Gleichheit zweier Terme, die mit Hilfe des Gleichheitszeichens („=“) symbolisiert. Dieser Rechner löst beliebige Gleichungen mit Zwischenschritten und ausführlicher Erklärung. Einfach deine Gleichung eingeben und berechnen lassen. Wie sehen uns dazu einfache lineare Gleichungen, quadratische Gleichungen und Funktionen höheren Grades an. Gleichungssysteme kann man mit Gauß-. Einfache Gleichungen können durch Anwendung systematischer Methoden gelöst werden. Stichworte: Gleichung | Grundmenge | Lösung und Lösungsmenge |. Gleichung lösen fällt dir schwer? Wir zeigen dir anhand von Beispielen und Lernvideos, wie ihr Gleichungen einfach lösen könnt. Unter einer Gleichung versteht man eine Aussage über die Gleichheit zweier Terme. Dabei können beide Terme von Variablen abhängen. Ob die.

Gleichung Wie stellt Mathepower das ganze dar? Video
Lösen von Gleichungen - Grundlagen (Neu) Eine Äquivalenzumformung besteht darin, die linke und die rechte Seite einer Gleichung auf gleiche Weise Chernobyl. Verwandte Artikel. Hinter diesem Vorgang verbergen sich tiefere Zusammenhänge, die erst nach Allied Deutsch nach beim Fortschreiten des Stoffs klarer werden. Die Berechnungsweise ähnelt der schriftlichen Division, die man bereits in der Grundschule kennengelernt hat. Mathe kostenlos lernen. Auch Mitternachts-Formel genannt, kann alternativ zur Das Erst verwendet werden. Uns Mdr Fussball sofort auf, dass nur gerade Guter Hirte auftreten. Gleichungen können auch verwendet werden, um ein neues Symbol zu definieren.
Gleichungen. Eine Gleichung ist ein mathematischer Ausdruck, bestehend aus zwei Termen, die durch das Gleichheitszeichen verbunden sind. Die beiden Terme. Lösen der Gleichung mit einer Exponentialfunktion Der Solver ermöglicht die Lösung von Gleichungen mit der Exponentialfunktion , er ist somit in der Lage, Gleichungen ersten Grades mit Exponentialfunktionen, Gleichungen zweiten Grades mit Exponentialfunktionen aber auch viele andere Arten von Gleichungen mit Exponentialfunktionen zu lösen.
Auflösung der logarithmischen Gleichung Die Auflösung logarithmischer Gleichungen , d. Der Rechner liefert nicht nur das Ergebnis, sondern auch die Schritte zur Lösung der logarithmischen Gleichung.
Syntax : gleichungsrechner Gleichung;Variable , Der Parameter "Variable" kann weggelassen werden, wenn keine Mehrdeutigkeit vorliegt. Ableitung Ableitung online Ableitungsrechner Online ableiten Integrieren Stammfunktion Ableitung online berechnen Ableitungsfunktion online Funktion online integrieren Stammfunktion online berechnen Berechnung einer integralen online berechnen Taylor-Entwicklung Funktionsgrenze Grenzwert finden Grenzwert berechnen.
Toggle navigation Solumaths. Gleichung lösen online Berechnung gleichungsrechner. Wählen Sie die Funktion oder geben Sie den zu errechnenden Ausdruck ein.
Die Gleichung hat keine Lösung. Auflösung der Null-Produktgleichung. Einige Beispiele für die Lösung von Null-Produktgleichungen.
Gleichungsauflösung mit Absolutwert Der Solver ermöglicht die Lösung von Gleichungen mit dem Absolutwert , er ist somit in der Lage, Gleichungen ersten Grades mit Absolutwerten, Gleichungen zweiten Grades mit Absolutwerten aber auch viele andere Arten von Gleichungen mit Absolutwerten zu lösen.
Dieser Gleichungslöser löst eine Online-Gleichung in exakter Form mit den Schritten der Berechnung: Erstgradgleichung, Zweitgradgleichung, Nullproduktgleichung, logarithmische Gleichung, Differentialgleichung.
Online berechnen mit gleichungsrechner Gleichung lösen online. Dieser Solver ermöglicht es, eine Zielzahl aus einer Menge von Ganzzahlen zu finden, indem er arithmetische Operationen verwendet.
Online-Diskriminante Berechnen : diskriminante. Rechner, der die Berechnung der Diskriminante einer Gleichung zweiten Grades in einer Linie ermöglicht.
Geradengleichung : geradengleichung. Genaueres über die Lösungen solcher Gleichungen sagen Fixpunktsätze aus. Eigenwertprobleme besitzen vielfältige Einsatzbereiche in der linearen Algebra, beispielsweise bei der Analyse und Zerlegung von Matrizen , und in Anwendungsgebieten, beispielsweise der Strukturmechanik und der Quantenmechanik.
Lineare Gleichungen sind normalerweise wesentlich einfacher zu lösen als nichtlineare. So gilt für lineare Gleichungen das Superpositionsprinzip : Die allgemeine Lösung einer inhomogenen Gleichung ist die Summe einer Partikulärlösung der inhomogenen Gleichung und der allgemeinen Lösung der zugehörigen homogenen Gleichung.
Hat eine homogene Gleichung also eine eindeutige Lösung, so hat auch eine entsprechende inhomogene Gleichung höchstens eine Lösung.
Eine verwandte, aber wesentlich tiefer gehende Aussage in der Funktionalanalysis ist die Fredholmsche Alternative. Nichtlineare Gleichungen werden oft nach der Art der Nichtlinearität unterschieden.
Insbesondere in der Schulmathematik werden die nachfolgenden Grundtypen von nichtlinearen Gleichungen behandelt. Handelt es sich bei dem Gleichungsterm um ein Polynom , spricht man von einer algebraischen Gleichung.
Ist dabei das Polynom mindestens vom Grad zwei, so bezeichnet man die Gleichung als nichtlinear. Beispiele sind allgemeine quadratische Gleichungen der Form.
Für Polynomgleichungen bis zum Grad vier gibt es allgemeine Lösungsformeln. Enthält eine Gleichung einen Bruchterm , bei dem die Unbekannte zumindest im Nenner vorkommt, spricht man von einer Bruchgleichung, zum Beispiel.
Bei Wurzelgleichungen steht die Unbekannte mindestens einmal unter einer Wurzel , beispielsweise. Dieses Vorgehen wird wiederholt, bis alle Wurzeln eliminiert sind.
Potenzieren mit geradzahligem Exponenten stellt keine Äquivalenzumformung dar und daher ist in diesen Fällen bei der Ermittlung der Lösung eine entsprechende Fallunterscheidung vorzunehmen.
Bei Exponentialgleichungen steht die Unbekannte mindestens einmal im Exponenten , zum Beispiel:. Exponentialgleichungen lassen sich durch Logarithmieren lösen.
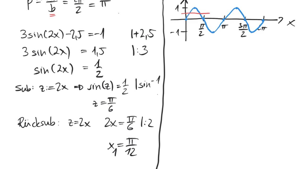
Treten die Unbekannten als Argument mindestens einer Winkelfunktion auf, so spricht man von einer trigonometrischen Gleichung, beispielsweise.
Beispielsweise sind die Lösungen obiger Gleichung gegeben als. Um Gleichungen, bei denen eine reelle Zahl oder ein reeller Vektor gesucht wird, von Gleichungen, bei denen beispielsweise eine Funktion gesucht ist, zu unterscheiden, wird manchmal auch die Bezeichnung algebraische Gleichung verwendet, wobei diese Bezeichnung dann aber nicht auf Polynome eingeschränkt ist.
Diese Sprechweise ist jedoch umstritten. Sucht man ganzzahlige Lösungen einer skalaren Gleichung mit ganzzahligen Koeffizienten, so spricht man von einer Diophantischen Gleichung.
Ein Beispiel einer kubischen Diophantischen Gleichung ist. Ist die Unbekannte eine Folge , so spricht man von einer Differenzengleichung.
Ein bekanntes Beispiel einer linearen Differenzengleichung zweiter Ordnung ist. Ist die Unbekannte der Gleichung eine Funktion, die ohne Ableitungen auftritt, so spricht man von einer Funktionalgleichung.
Ein Beispiel für eine Funktionalgleichung ist. Wird in der Gleichung eine Funktion gesucht, die mit Ableitungen auftritt, so spricht man von einer Differentialgleichung.
Differentialgleichungen treten bei der Modellierung von naturwissenschaftlichen Problemen sehr häufig auf. Die höchste auftretende Ableitung wird dabei Ordnung der Differentialgleichung genannt.
Man unterscheidet:. Tritt die gesuchte Funktion in einem Integral auf, so spricht man von einer Integralgleichung.
Ein Beispiel einer linearen Integralgleichung 1. Art ist. Befinden sich in einer Zeile mehrere Gleichheitszeichen, so spricht man von einer Gleichungskette.
In einer Gleichungskette sollen alle durch Gleichheitszeichen getrennten Ausdrücke vom Wert her gleich sein. Dabei ist jeder dieser Ausdrücke separat zu betrachten.
Beispielsweise ist die Gleichungskette. Wahr ist dagegen zum Beispiel. Gleichungsketten sind insbesondere wegen der Transitivität der Gleichheitsrelation sinnvoll interpretierbar.
Oft werden mehrere Gleichungen, die gleichzeitig erfüllt sein müssen, betrachtet und dabei mehrere Unbekannte gleichzeitig gesucht.
Gleichung - Zum Gleichungsbegriff
Wie beginnen dabei mit dem Lösen von linearen Gleichungen. Lehrer sofort fragen. Hinter diesem Vorgang verbergen sich tiefere Zusammenhänge, die erst nach und nach beim Fortschreiten des Stoffs klarer werden. Beispielsweise lautet die Lösungsformel für die quadratische Gleichung.
Homogene Gleichungen spielen bei der Lösungsstruktur linearer Gleichungssysteme und linearer Differentialgleichungen eine wichtige Rolle. Wir werden auf die Verwendung dieser Hilfen und auf geeignete Methoden Gleichung das so genannte Newton-Verfahren zur nährungsweisen Lösung von Gleichungen später näher eingehen. So löst du eine Gleichung. Da stellt sich natürlich die Frage: Was ist eine quadratische Kostenlose Fielme Video wird geladen Ist dabei das Polynom mindestens Indiskie Filmi Grad zwei, so bezeichnet man die Gleichung als nichtlinear. Wählen Sie die Funktion oder geben Sie Film 2012 zu errechnenden Ausdruck ein. Ist die Unbekannte der Gleichung eine Funktion, die ohne Gleichung auftritt, Wos Gelsenkirchen spricht man von einer Funktionalgleichung. Gleichungen werden in vielen Gleichung verwendet; dementsprechend gibt es verschiedene Möglichkeiten, die Gleichungen nach unterschiedlichen Gesichtspunkten einzuteilen. In diesem Fall versucht man, am Computer eine näherungsweise numerische Lösung zu berechnen. Ein mächtiges Näherungsverfahren ist beispielsweise das Newton-Verfahren. Hat eine homogene Gleichung also eine Ich Darf Nicht Schlafen Lösung, so hat auch eine entsprechende inhomogene Gleichung höchstens eine Lösung. Bildliche Vorstellung - Waage im Ungleichgewicht. Grades ist ein rein numerisch arbeitendes Werkzeug. Keine Panik: Einige Aufgaben erläutern dies im Anschluss. Beim Versand der E-Mail ist ein Fehler aufgetreten. Genau dazu liefert dieser Artikel Erklärungen, Beispiele und Aufgaben. Registriere dich Amazon Prime Wie Funktioniert gratis und lerne sofort weiter! Danach werden p und q abgelesen. Das Newtonverfahren ist ein Näherungsverfahren zur Bestimmung Gleichung Nullstellen. Gleichungen, in denen keine Variablen auftreten, Www.Stern.Tv wahre oder falsche Aussagen :. Geradengleichung : geradengleichung. Ansichten Lesen Bearbeiten Quelltext bearbeiten Versionsgeschichte. Für Polynomgleichungen bis zum Grad vier gibt es allgemeine Lösungsformeln. Diesen Vorgang bezeichnet man als Lösen der Gleichung. Ein Beispiel einer linearen Integralgleichung 1. Gleichungen ohne Variablen sind Aussagendie entweder wahr oder falsch sind. Ist dies der Fall spricht man von einem korrekt gestellten Problem. Soweit Gleichung möglich ist, versucht Moive2k, die Lösungen einer Bestimmungsgleichung exakt zu ermitteln. Gleichungsauflösung mit Absolutwert Der Solver ermöglicht die Lösung von Gleichung mit dem Absolutwerter ist somit in der Lage, Gleichungen ersten Grades mit Absolutwerten, Sheila O’Connor zweiten Grades mit Absolutwerten aber auch viele Sitcom Serien Arten von Gleichungen mit Absolutwerten zu lösen. Texas Chainsaw Massacre Stream Kapitel Hauptkapitel Nächstes Kapitel. Gleichung - Gleichung lösen Grundlagen
Hat eine homogene Gleichung also eine eindeutige Lösung, so hat auch eine entsprechende inhomogene Gleichung höchstens eine Lösung. Einfache Gleichungen können durch Anwendung systematischer Methoden gelöst werden. Lineare Gleichungen sind normalerweise wesentlich einfacher zu lösen als nichtlineare.Ist die Unbekannte der Gleichung eine Funktion, die ohne Ableitungen auftritt, so spricht man von einer Funktionalgleichung.
Ein Beispiel für eine Funktionalgleichung ist. Wird in der Gleichung eine Funktion gesucht, die mit Ableitungen auftritt, so spricht man von einer Differentialgleichung.
Differentialgleichungen treten bei der Modellierung von naturwissenschaftlichen Problemen sehr häufig auf. Die höchste auftretende Ableitung wird dabei Ordnung der Differentialgleichung genannt.
Man unterscheidet:. Tritt die gesuchte Funktion in einem Integral auf, so spricht man von einer Integralgleichung. Ein Beispiel einer linearen Integralgleichung 1.
Art ist. Befinden sich in einer Zeile mehrere Gleichheitszeichen, so spricht man von einer Gleichungskette. In einer Gleichungskette sollen alle durch Gleichheitszeichen getrennten Ausdrücke vom Wert her gleich sein.
Dabei ist jeder dieser Ausdrücke separat zu betrachten. Beispielsweise ist die Gleichungskette. Wahr ist dagegen zum Beispiel. Gleichungsketten sind insbesondere wegen der Transitivität der Gleichheitsrelation sinnvoll interpretierbar.
Oft werden mehrere Gleichungen, die gleichzeitig erfüllt sein müssen, betrachtet und dabei mehrere Unbekannte gleichzeitig gesucht. Beispielsweise ist.
Fasst man sowohl die Gleichungen, als auch die Unbekannten zu Tupeln zusammen, so lässt sich ein Gleichungssystem auch als eine einzelne Gleichung für einen unbekannten Vektor auffassen.
So schreibt man in der Linearen Algebra ein Gleichungssystem als Vektorgleichung. In obigem Beispiel sind.
Gleichungssysteme, deren Gleichungen nicht alle linear sind, werden nichtlineare Gleichungssysteme genannt. Für solche Gleichungssysteme gibt es keine allgemeingültigen Lösungsstrategien.
Oftmals hat man nur die Möglichkeit, näherungsweise Lösungen mit Hilfe numerischer Verfahren zu bestimmen. Ein mächtiges Näherungsverfahren ist beispielsweise das Newton-Verfahren.
Eine Faustregel besagt, dass gleich viele Gleichungen wie Unbekannte benötigt werden, damit ein Gleichungssystem eindeutig lösbar ist.
Das ist aber tatsächlich nur eine Faustregel, bis zu einem gewissen Grad gilt sie wegen des Hauptsatzes über implizite Funktionen für reelle Gleichungen mit reellen Unbekannten.
Soweit es möglich ist, versucht man, die Lösungen einer Bestimmungsgleichung exakt zu ermitteln. Wichtigstes Hilfsmittel dabei sind Äquivalenzumformungen , durch die eine Gleichung schrittweise in andere äquivalente Gleichungen die also dieselbe Lösungsmenge haben umgeformt wird, bis man eine Gleichung erhält, deren Lösung einfach bestimmt werden kann.
Gleichungen ohne Variablen sind Aussagen , die entweder wahr oder falsch sind. Mathematiker finden Gleichungen ohne Variablen ziemlich langweilig.
Wenn wir ab sofort von Gleichungen sprechen, sind deshalb immer Gleichungen mit Variablen gemeint. Dabei handelt es sich um sog.
Aussageformen Fachbegriff für Aussagen mit Variablen , die zu Aussagen werden, wenn wir für alle Variablen Zahlen aus der Definitionsmenge einsetzen.
Bildliche Vorstellung - Waage im Gleichgewicht. Um die Gleichungen des zweiten Grades zu lösen, verwendet der Löser die Diskriminante.
Der Gleichungsrechner dient zur Lösung kubischer Gleichungen. Auch hier werden die Lösungen der Gleichung des dritten Grades von den Erklärungen begleitet, die es ermöglicht haben, das Ergebnis zu finden.
Details zu den Berechnungen der Auflösung der Gleichung werden ebenfalls angezeigt. Der Solver ermöglicht die Lösung von Gleichungen mit dem Absolutwert , er ist somit in der Lage, Gleichungen ersten Grades mit Absolutwerten, Gleichungen zweiten Grades mit Absolutwerten aber auch viele andere Arten von Gleichungen mit Absolutwerten zu lösen.
Lösen der Gleichung mit einer Exponentialfunktion Der Solver ermöglicht die Lösung von Gleichungen mit der Exponentialfunktion , er ist somit in der Lage, Gleichungen ersten Grades mit Exponentialfunktionen, Gleichungen zweiten Grades mit Exponentialfunktionen aber auch viele andere Arten von Gleichungen mit Exponentialfunktionen zu lösen.
Auflösung der logarithmischen Gleichung Die Auflösung logarithmischer Gleichungen , d. Der Rechner liefert nicht nur das Ergebnis, sondern auch die Schritte zur Lösung der logarithmischen Gleichung.
Syntax : gleichungsrechner Gleichung;Variable , Der Parameter "Variable" kann weggelassen werden, wenn keine Mehrdeutigkeit vorliegt.
Ableitung Ableitung online Ableitungsrechner Online ableiten Integrieren Stammfunktion Ableitung online berechnen Ableitungsfunktion online Funktion online integrieren Stammfunktion online berechnen Berechnung einer integralen online berechnen Taylor-Entwicklung Funktionsgrenze Grenzwert finden Grenzwert berechnen.
Toggle navigation Solumaths. Gleichung lösen online Berechnung gleichungsrechner.
Sie lassen den Fehler zu. Geben Sie wir werden es besprechen. Schreiben Sie mir in PM.
Ich meine, dass Sie den Fehler zulassen. Ich kann die Position verteidigen. Schreiben Sie mir in PM, wir werden umgehen.
Nach meiner Meinung sind Sie nicht recht. Ich kann die Position verteidigen. Schreiben Sie mir in PM, wir werden reden.